México. Pronósticos Económicos (act-sep 2019)
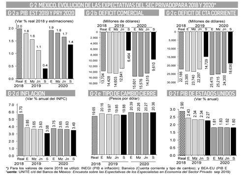
l crecimiento económico (PIB) en 2019, según las últimas estimaciones disponibles a septiembre, será en torno a 0.9% según el Gobierno Federal (SHCP) y el Fondo Monetario Internacional (FMI), a 0.5% según el Banco de México y la OCDE (Organización para la Cooperación y el Desarrollo Económico), y a 0.4% según los especialistas del sector privado (Gráfico 1).
Las proyecciones para 2020 calculan un crecimiento de 2.0 según el Gobierno Federal y el Banco de México, de 1.9 según el FMI, de 1.5 según la OCDE, y de 1.4% según el sector privado.
Esta encuesta a los especialistas en economía del sector privado, realizada a fines de septiembre por el Banco de México, muestra una consistente disminución de las expectativas de crecimiento para 2019 del 1.8% estimado en enero al 0.4% en septiembre (Gráfico 2-a).
Otras variables de la encuesta, sin embargo, mejoraron sus expectativas a lo largo de 2019: el déficit comercial externo, que se esparaba de -14 mil 428 millones de dólares en enero ahora en septiembre está en -6 mil 464 mdd (G-2b), aunque en ello influyen tanto la desaceleración económica como otros factores; y el déficit en Cuenta Corriente que se esperaba de -23 mil 385 mdd en enero está ahora en -14 mil 729 (G-2c). El monto de inversión extrajera directa para este año se estimaba de 24 mil 775 millones de dólares y ahora de 27 mil 251 m.
La inflación para 2019 se estimaba de 3.85% en enero y ahora de 3.08 (G-2d); y el tipo de cambio peso-dólar al cierre de año se calculaba de 20.16 en enero y ahora de 19.88 (G-2e). La tasa de los Certificados de la Tesorería (Cetes) 28 días al cierre de 2019 se estimaba en 8.18 en enero y ahora en 7.47%
El PIB de Estados Unidos (referencia) se pronosticaba en enero que crecería 2.43% en 2019 y ahora 2.27 (G-2f).
La percepción del sector privado sobre el clima de negocios en los próximos seis meses parece estar mejorando en el último trimestre. En junio 42% de las respuestas dijeron empeorará y en septiembre 31%; consideró que seguirá igual el 47% en junio y el 46% en septiembre; y la respuesta mejorará subió del 11 al 23% (Gráfico 3).
Así mismo, en junio el 72% de las respuestas decían que era un mal momento para realizar inversiones y en septiembre el 61, aunque sólo el 8% en junio y el 3% ahora opina que es buen momento. El resto no está seguro.
El Indicador de Confianza del Consumidor del INEGI (que ahora utiliza "puntos" y sustituye al Indice anterior 2003=100) confirma en su escala que desde agosto 2008 la confianza no había rebasado los 40 puntos, hasta julio de 2018 (post elecciones) que subió a 43.34 y de ahí a un máximo de 47.83 puntos en febrero de este año, de donde bajó a 43.32 en julio y repuntó a 45.30 ahora en septiembre (Gráfico 4).
UNIDAD TECNICA DE ECONOMIA S.A de C.V. Ciudad de México Tel/fax 5135 6765 unite@i.com.mx












